Wave Model
The wave parameters are calculated using the SWAN wave model, cycle III, version 41.31A. The model is tuned specifically for each grid.
Welcome to TalTech's repository for high-resolution wave climatology data for the Baltic Sea, maintained by the Laboratory of Wave Engineering at TalTech, Tallinn University of Technology.

This website contains information regarding the wave climatology dataset calculated using the SWAN numerical model at TalTech, Tallinn University of Technology.
High-resolution wave properties timeseries are available for download (in several formats) for the time period 1979-2022.
This research project is co-supported by the Estonian Research Council (grants PRG1129 and PRG1471), the European Economic Area (EEA) Financial Mechanism 2014–2021 Baltic Research Programme (grant EMP480), and the European Regional Development Fund program Mobilitas Pluss, reg. nr 2014-2020.4.01.16-0024, project MOBTT72.
The wave parameters are calculated using the SWAN wave model, cycle III, version 41.31A. The model is tuned specifically for each grid.
Three-level nested scheme of grids. The outer grid cover the Baltic Sea. Resolution on coastal grids of up to 250m.
Wave data available with two wind forcings: ERA5 reanalysis by ECMWF and BaltAn65+, originating from ERA-40 and ERA Interim datasets.
Database of Estonian Transport Administration, Latvian Institute of Aquatic Ecology and from the Baltic Sea Bathymetry Database by the Baltic Sea Hydrographic Commission.
You can download the available documentation here, to find out about how to download and use the wave climatology dataset for the Baltic Sea.
Input wind datasets ERA5 and BaltAn65+ are thoroughly validated against measurements available from 3 different locations (Kalbadagrund, Parainen and Vilsandi).
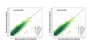
Wave properties calculated using SWAN are compared with measurements available at 18 different locations in the Baltic Sea.
The model output is provided in 3- or 6- months long batches, including the output wave parameters as NC, MATLAB and TXT format. Post-processed data to include longer timeseries is also provided.
We offer support for the wave dataset. This includes the help with data extraction or the use post-processing scripts.
The wave climatology dataset for the Baltic Sea can be accessed using an SFTP client.
You can read the documentation to better understand how the data is distributed in the dataset, what timeseries and what variables are available.
That's it! Nothing else is needed to access the entire 100+TB dataset of wave climatology data for the Baltic Sea.
Below is a collection of references and some visual assets from the scientific publications which stem from this project.
The laboratory was formed in 2009 to promote and provide a structure for research in water waves and coastal engineering within the Department of Mechanics and Applied Mathematics, Institute of Cybernetics and now is one of the core labs of the Institute of Cybernetics.
If you need help, we are available to provide support.
In addition, while the data in the dataset is provided free-of-charge, we are also offering it for commercial use. Get in touch to discover more.
The data is available for free download for non-commercial use.
Download Instructions